开网店:
作为运营正确的做店铺做单品的思路就是拿到一个产品,首先就是分析所在的类目,确定所在产品类目的至少10个单品,作为竞争对手进行数据分析,数据分析完成之后我们重新制定我们的计划,做好数据维护,了解竞争对手的流量渠道,找到一个和自己渠道特别相近并且产品能够达到并超越竞争对手的产品作为数据分析对象。
整体来说就是1.确实产品 2.分析竞争对手 3.制定操盘计划 4.修正完善数据。5超越对手 打造爆款。
本次课程主要讲解如何收集竞争对手数据,以及收集数据对我们有什么意义?
第一步 如何收集竞争对手数据
按照图片的步骤 如图1图2 图3 图4
图2
图3
图4

第二步 统计数据
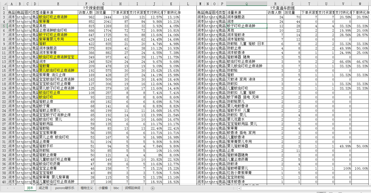
统计出来的数据是这样的如图5 图6
图6
另外市场有些转化数据的软件需要自己去找 ,很简单的换成数据,虽然有一些差别,但是不影响你对数据的整体判断
第三步 竞争对手的数据就是我们要复制和模仿的
竞争对手的直通车关键词 竞争对手的自然搜索关键词,这些对我们组成我们产品的标题具有重要的作用,我们要把竞争对手的自然搜所流量的词语作为我们组成标题的词语,同时竞争对手的直通车词语也可以加入我们的直通车里面进行推广,成交不好的词语删除,只加入成交转化率高的词语。
保证的我们关键词的转化率,uv价值要比竞争对手高!!!!!这一点很重要,甚至可以让老顾客便宜购购买,赠送,返还差价都是可以的。自然搜搜转化率和直通车转化率始终要比对手高百分之2,这样在淘宝的系统里面我们的宝贝排名才有可能更靠前。因为我们的点击率,转化率,uv价值是比竞争对手多的。至于流量的话,我们可以加大直通车的力度。 如图7

这些转化率的数据是我们要保持和超越对手的!
文章来源:开网店官网